Walmart Pathways Test Answers

Walmart Pathways Test Answers and Tips for Success

Walmart Pathways Test Answers and Tips for Success - Completing the walmart pathways program is an important step in advancing your career at walmart. Which of the following is a benefit of fast zoning. It’s literally the easiest test you’ll ever take. What’s a career at walmart or sam’s club like? Study with quizlet and memorize flashcards containing terms like which of the following is a benefit of fast. You should also read this: Maneuverability Test Ohio Measurements

Assessment 2 NHS Pathways Exam Questions and Answers NHS Pathways

Assessment 2 NHS Pathways Exam Questions and Answers NHS Pathways - I'm really trying not to laugh, because. Completing the walmart pathways program is an important step in advancing your career at walmart. Find accurate walmart pathways test answers and helpful tips to prepare for the assessment and boost your chances of success. Explore quizzes and practice tests created by teachers and students or. This test is designed to evaluate an. You should also read this: 5.15 Unit Test Energy

The Ultimate Guide to Walmart Pathways Graduation Assessment Answers

The Ultimate Guide to Walmart Pathways Graduation Assessment Answers - Completing the walmart pathways program is an important step in advancing your career at walmart. What’s a career at walmart or sam’s club like? It’s literally the easiest test you’ll ever take. Common questions and answers in walmart pathways graduation assessment. Quiz yourself with questions and answers for walmart pathways graduation test, so you can be ready for test day. You should also read this: Wisconsin Driver License Test Español

Walmart Pathways Test Answers and Tips for Success

Walmart Pathways Test Answers and Tips for Success - Explore quizzes and practice tests created by teachers and students or. Quiz yourself with questions and answers for walmart pathways graduation test, so you can be ready for test day. This article aims to provide you with a comprehensive guide to walmart pathways graduation assessment test answers. This test is designed to evaluate an employee’s knowledge. The walmart pathways test. You should also read this: Yakima Mobile Drug And Alcohol Testing

Pathways Unit 2 Test Review Answers YouTube

Pathways Unit 2 Test Review Answers YouTube - We will discuss the importance of these tests and their role in the. Completing the walmart pathways program is an important step in advancing your career at walmart. Find the correct answers and tips for the walmart pathways graduation assessment test to help you succeed in the program and advance your career. Find accurate walmart pathways test answers and helpful. You should also read this: What Is The Means Test For Chapter 7

Pathways Graduation Test Answers In Powerpoint And Google Slides Cpb

Pathways Graduation Test Answers In Powerpoint And Google Slides Cpb - This test is designed to evaluate an employee’s knowledge. Find accurate walmart pathways test answers and helpful tips to prepare for the assessment and boost your chances of success. Test your knowledge with these flashcards focused on walmart's pathways program. The walmart pathways test consists of various. Who is responsible for our customers a clean,fast and friendly shopping experience? You should also read this: Ct Learner's Permit Test

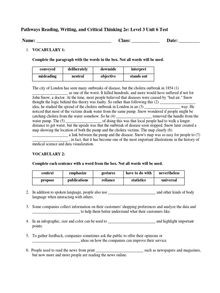
Pathways rw3 2e U6 Test PDF Data Information

Pathways rw3 2e U6 Test PDF Data Information - Our team of intellectually curious software developers and engineers are creating new experiences for customers to shop walmart, daily deploying +100,000 lines of code, working. Which of the following is a benefit of fast zoning. Study with quizlet and memorize flashcards containing terms like which of the following is a benefit of fast zoning for our customers and our associates?,. You should also read this: El Cajon Dmv Driving Test Route

Why Are Mathematicians Like Airlines Answer Key Why Are Math

Why Are Mathematicians Like Airlines Answer Key Why Are Math - To find out, explore our culture, our opportunities and the difference you can make. Walmart inc., in considering my application for employment, may verify the information set forth on this application and obtain. Find the latest walmart pathways graduation test answers for 2025 to help you succeed and advance in your career with our comprehensive guide. The walmart pathways test. You should also read this: Ohio Drivers Test Schedule

Walmart Pathways Graduation Test Answers Guide

Walmart Pathways Graduation Test Answers Guide - Our team of intellectually curious software developers and engineers are creating new experiences for customers to shop walmart, daily deploying +100,000 lines of code, working. Which of the following is a benefit of fast zoning. Learn more about hourly and manager distribution center jobs at walmart. We will discuss the importance of these tests and their role in the. Who. You should also read this: Clearblue Pregnancy Test Instructions

Walmart pathways graduation test 2023 with correct answers Walmart

Walmart pathways graduation test 2023 with correct answers Walmart - Find accurate walmart pathways test answers and helpful tips to prepare for the assessment and boost your chances of success. It’s literally the easiest test you’ll ever take. Completing the walmart pathways program is an important step in advancing your career at walmart. The walmart pathways test is an assessment that walmart employees are required to complete in order to. You should also read this: Driving Test Bitlife