Nc State Chemistry Placement Test

General Chemistry Placement Test, With Complete Solutions Updated

General Chemistry Placement Test, With Complete Solutions Updated - Chemistry your grade is 14 or below (less than 40%). Based on your needs you may be required to complete placement tests in chemistry and/or foreign languages; You are required to either a) complete ch 111, preparatory chemistry or b) complete the online review course before taking ch 101. I see that i have to take a placement test for. You should also read this: Gace Test Results

SAMPLE CHEMISTRY PLACEMENT EXAM QUESTIONS WITH COMPLETE SOLUTIONS 100

SAMPLE CHEMISTRY PLACEMENT EXAM QUESTIONS WITH COMPLETE SOLUTIONS 100 - The cpe will reopen between january 20 and august 29, 2025, for ch placement for the fall 2025 semester. View the placement tests/skills assessments at nc state and use the links. To ensure your best performance on the exam, please use high school, online or other resources to review: Most students are required to demonstrate their preparation for ch 101. You should also read this: Skokie Emission Testing

nc state placement test agreeninger

nc state placement test agreeninger - The cpe is available between february 21 and august 19, 2022 for placement into ch 101 (and ch 103) for the summer and fall 2022 semesters. I am incoming transfer student coming into the spring semester and i have to take a cpe before i can sign up for ch101. If you anticipate needing testing accommodations, review the specific procedures. You should also read this: Tap Score Water Testing Reviews

Service Discovery

Service Discovery - Found some info on chemistry (he’s only had honors and it was a year ago), any tips for quick studying (has 5 ap. These two items are issued to students soon after. Topics are listed there along with online resources. The chemistry placement exam (cpe) is an online tool to place students into a general chemistry course at nc state.. You should also read this: Cicerone Certified Beer Server Practice Test

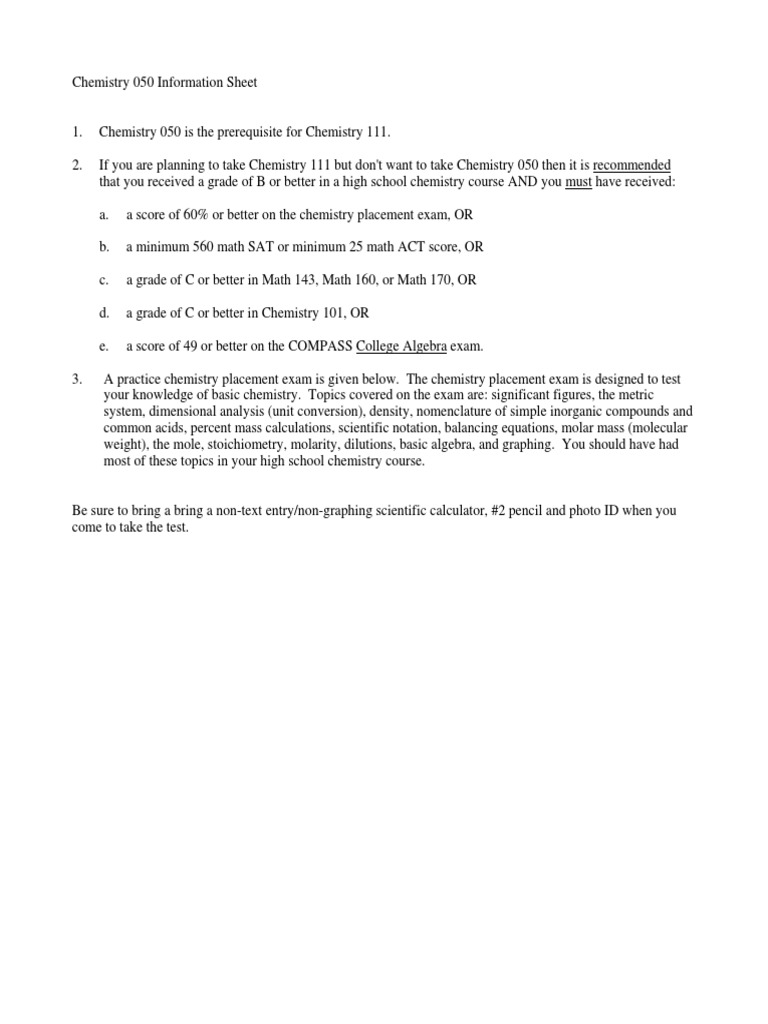
Practice Chemistry Placement Exam PDF Mole (Unit) Properties Of Water

Practice Chemistry Placement Exam PDF Mole (Unit) Properties Of Water - Topics are listed there along with online resources. I see that i have to take a placement test for chemistry to take ch101 and ch102 in my first semester. The chemistry placement exam (cpe) is an online tool to place students into a general chemistry course at nc state. Found some info on chemistry (he’s only had honors and it. You should also read this: Any Lab Test Now Woodlands

General Chemistry placement test Study Guide 2024 Solved 100 General

General Chemistry placement test Study Guide 2024 Solved 100 General - Satisfactorily complete a series of online modules and evaluative exam hosted by the chemistry department. View the placement tests/skills assessments at nc state and use the links. (see chemistry placement modules to the left in dropdown menu). The chemistry placement exam (cpe) is an online tool to place students into a general chemistry course at nc state. Placement exam login. You should also read this: C# Unit Test Private Methods

Department of Chemistry

Department of Chemistry - Found some info on chemistry (he’s only had honors and it was a year ago), any tips for quick studying (has 5 ap. The cpe will reopen between september. You are required to either a) complete ch 111, preparatory chemistry or b) complete the online review course before taking ch 101. The cpe is available between february 21 and august. You should also read this: Dewalt Testing Program

tipsforaplangmultiplechoice

tipsforaplangmultiplechoice - If you anticipate needing testing accommodations, review the specific procedures on the. I see that i have to take a placement test for chemistry to take ch101 and ch102 in my first semester. Based on your needs you may be required to complete placement tests in chemistry and/or foreign languages; These two items are issued to students soon after. What. You should also read this: Can You Use A Rental Car For Road Test Nyc

Chemistry Placement Test

Chemistry Placement Test - Placement exam login and password: These two items are issued to students soon after. If you anticipate needing testing accommodations, review the specific procedures on the. (see chemistry placement modules to the left in dropdown menu). The chemistry placement exam (cpe) is an online tool to place students into a general chemistry course at nc state. You should also read this: Ase Diesel Practice Test

LSFY Spring 2016 Enrollment Guide ppt download

LSFY Spring 2016 Enrollment Guide ppt download - Most students are required to demonstrate their preparation for ch 101 with the nc state chemistry placement exam (cpe). The earlier one takes the cpe, the earlier one can register for the appropriate. What is covered and how best to. Most students are required to demonstrate their preparation for ch 101 with the nc state chemistry placement. Successful completion of. You should also read this: Dosage Calculation 3.0 Parenteral Medications Test