In Basket Test Examples

inbasket test Multiple Choice Competence (Human Resources)

inbasket test Multiple Choice Competence (Human Resources) - Position requires specific computer programs. In baskets, online management exercises, sjt’s, role play etc. Online in baskets will give you objective and valid information to support recruiting decisions. In a basic interview, you will get to know a candidate. To make the right decisions, you need the right information. You should also read this: Hydrogen Breath Test Cpt Code

situational test

situational test - The competencies in the management skills A manager is enlisting the help of an administrative specialist. These tests also help familiarize the candidate with some of the responsibilities of the role. An exercise in an assessment center in which the participant. In baskets, online management exercises, sjt’s, role play etc. You should also read this: How To Test For Dysgraphia

Solved Inbasket tests are examples of

Solved Inbasket tests are examples of - A manager is enlisting the help of an administrative specialist. The competencies in the management skills Position requires specific computer programs. In a basic interview, you will get to know a candidate. An exercise in an assessment center in which the participant. You should also read this: Clear Blue Pregnancy Test Reviews

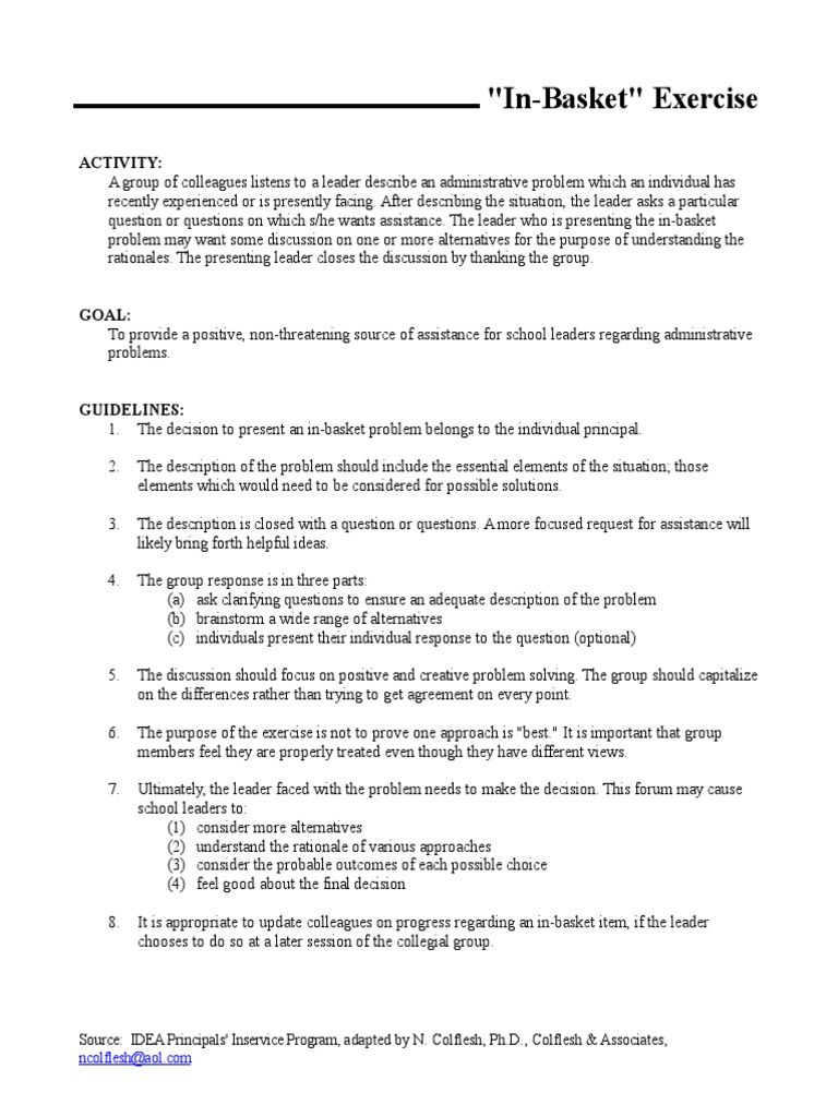
In Basket Exercise

In Basket Exercise - An exercise in an assessment center in which the participant. In baskets, online management exercises, sjt’s, role play etc. To make the right decisions, you need the right information. Online in baskets will give you objective and valid information to support recruiting decisions. These tests also help familiarize the candidate with some of the responsibilities of the role. You should also read this: Prednisone Drug Test

In Basket Exercise Definition & Purpose Explained

In Basket Exercise Definition & Purpose Explained - Have the candidate perform a task or exercise,. In baskets, online management exercises, sjt’s, role play etc. An exercise in an assessment center in which the participant. Online in baskets will give you objective and valid information to support recruiting decisions. Position requires specific computer programs. You should also read this: Free Hca Practice Test

(PDF) A Comparison of Two Methods for Scoring an InBasket Exercise

(PDF) A Comparison of Two Methods for Scoring an InBasket Exercise - These tests also help familiarize the candidate with some of the responsibilities of the role. The competencies in the management skills In a basic interview, you will get to know a candidate. Have the candidate perform a task or exercise,. An exercise in an assessment center in which the participant. You should also read this: Neanderthal Dna Testing

In basket technique

In basket technique - The competencies in the management skills Online in baskets will give you objective and valid information to support recruiting decisions. An exercise in an assessment center in which the participant. In baskets, online management exercises, sjt’s, role play etc. Have the candidate perform a task or exercise,. You should also read this: Covid Test Expiration Date Binax

Assessement Center IN Basket Test In Basket (Individuel) But C’est

Assessement Center IN Basket Test In Basket (Individuel) But C’est - Position requires specific computer programs. In a basic interview, you will get to know a candidate. Have the candidate perform a task or exercise,. An exercise in an assessment center in which the participant. Online in baskets will give you objective and valid information to support recruiting decisions. You should also read this: Florida Driver License Practice Test In Creole

PPT Recruitment and Selection PowerPoint Presentation, free download

PPT Recruitment and Selection PowerPoint Presentation, free download - Have the candidate perform a task or exercise,. A manager is enlisting the help of an administrative specialist. Position requires specific computer programs. In a basic interview, you will get to know a candidate. The competencies in the management skills You should also read this: Motility Test Gi

What Is An In Basket Technique at Tanika Gauthier blog

What Is An In Basket Technique at Tanika Gauthier blog - In a basic interview, you will get to know a candidate. A manager is enlisting the help of an administrative specialist. Online in baskets will give you objective and valid information to support recruiting decisions. These tests also help familiarize the candidate with some of the responsibilities of the role. In baskets, online management exercises, sjt’s, role play etc. You should also read this: Biuret Test Shows The Presence Of