Geometry Diagnostic Test

Math 10 Diagnostic Test 2018 2019 PDF Polynomial Ratio

Math 10 Diagnostic Test 2018 2019 PDF Polynomial Ratio - A pdf file with 29 multiple choice and short answer questions on geometry topics such as trigonometry, area, volume, probability, and proof. For intervention, direct students to the following pages from the skills. Includes score reports and progress tracking. Take the varsity learning tools free diagnostic test for basic geometry to determine which academic concepts you understand and which ones. You should also read this: How To Test Garage Door Sensors With Multimeter

G8Diagnostic Test PDF Perpendicular Elementary Geometry

G8Diagnostic Test PDF Perpendicular Elementary Geometry - Ace this school year40+ years of experienceexpert teachersflexible scheduling Students may face basic geometry tests from elementary school through. On this website you can find a variety of free online geometry tests. Explore quizzes and practice tests created by teachers and students or create one. A pdf file with 29 multiple choice and short answer questions on geometry topics such. You should also read this: Ap Statistics Chapter 9 Test

Master Geometry Take Our Diagnostic Test and Get the Answers in a PDF

Master Geometry Take Our Diagnostic Test and Get the Answers in a PDF - Take the varsity learning tools free diagnostic test for basic geometry to determine which academic concepts you understand and which ones require your ongoing attention. This placement test can help you determine whether your child is ready for the geometry teaching textbook. Topics include equations, functions, circles, triangles, polygons, transformations, and more. Students may face basic geometry tests from elementary. You should also read this: Do Pool Test Strips Work

GRADE 9 DIAGNOSTIC TEST IN MATH PART 2 Final PDF Geometry

GRADE 9 DIAGNOSTIC TEST IN MATH PART 2 Final PDF Geometry - Quiz yourself with questions and answers for geometry diagnostic exam, so you can be ready for test day. Each test is tagged with the core concepts and has detailed. Whether you are studying for a school exam or just looking to challenge your geometry skills, this test will help you assess your. Take the varsity learning tools free diagnostic test. You should also read this: Can Spironolactone Cause A False Positive Drug Test

Grade 5 Diagnostic Math Test Roger Brent's 5th Grade Math Worksheets

Grade 5 Diagnostic Math Test Roger Brent's 5th Grade Math Worksheets - A pdf file with 29 multiple choice and short answer questions on geometry topics such as trigonometry, area, volume, probability, and proof. This document contains a 15 question geometry diagnostic test for 9th grade students. Ace this school year40+ years of experienceexpert teachersflexible scheduling This placement test can help you determine whether your child is ready for the geometry teaching. You should also read this: Ac Crossover Test

SOLUTION Geometry diagnostic pre test Studypool

SOLUTION Geometry diagnostic pre test Studypool - The test is not perfect, so in making any final placement decision also use. Topics include equations, functions, circles, triangles, polygons, transformations, and more. Take the varsity learning tools free diagnostic test for advanced geometry to determine which academic concepts you understand and which ones require your ongoing attention. Ace this school year40+ years of experienceexpert teachersflexible scheduling Quiz yourself. You should also read this: How Long After Miscarriage Do You Test Negative

(August 15, 2018) Diagnostic Test Download Free PDF Odds

(August 15, 2018) Diagnostic Test Download Free PDF Odds - The test is not perfect, so in making any final placement decision also use. Whether you are studying for a school exam or just looking to challenge your geometry skills, this test will help you assess your. Topics include equations, functions, circles, triangles, polygons, transformations, and more. Take the varsity learning tools free diagnostic test for intermediate geometry to determine. You should also read this: Eib Fitness Test

GeometryDiagnosticTest (x + 10)° (3x 2)° MATH 20 44 Diagnostic

GeometryDiagnosticTest (x + 10)° (3x 2)° MATH 20 44 Diagnostic - Includes score reports and progress tracking. This document contains a 15 question geometry diagnostic test for 9th grade students. The test is designed for students who have. On this website you can find a variety of free online geometry tests. Students may face basic geometry tests from elementary school through. You should also read this: Mometrix Ccma Practice Test

Geometry Diagnostic Test Answer Key

Geometry Diagnostic Test Answer Key - Whether you are studying for a school exam or just looking to challenge your geometry skills, this test will help you assess your. Includes score reports and progress tracking. Find resources to prepare for geometry tests, with study guides, flash cards, practice tests, online courses and more. Create a free account today. The test covers topics such as solving equations,. You should also read this: Ati Pediatric Medications Test

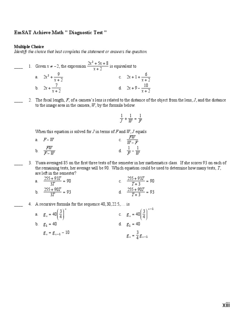
Emsat Achieve Math " Diagnostic Test " Multiple Choice PDF

Emsat Achieve Math " Diagnostic Test " Multiple Choice PDF - Ace this school year40+ years of experienceexpert teachersflexible scheduling The test is designed for students who have. Take the varsity learning tools free diagnostic test for intermediate geometry to determine which academic concepts you understand and which ones require your ongoing attention. For intervention, direct students to the following pages from the skills. Each test is tagged with the core. You should also read this: Test 1700 Gnc