Eppp Practice Test

EPPP Practice test 1 questions and answers solved 100 correct! EPPP

EPPP Practice test 1 questions and answers solved 100 correct! EPPP - Here’s a detailed guide on eppp exam questions, sample questions with explanations, and resources to help you prepare effectively. Extensive eppp study materials available from study packages, online mock exams, live workshops & more! Maintained and updated as of 2025. It includes study lessons, practice questions, flashcards, and more! In tom’s case, relying on only one informant limits the. You should also read this: Myriad Genetic Testing Results

EPPP PRACTICE QUESTIONS WITH CORRECT 100 ANSWERS 2024 EPPP Stuvia US

EPPP PRACTICE QUESTIONS WITH CORRECT 100 ANSWERS 2024 EPPP Stuvia US - These questions will help you increase your eppp exam score. It includes study lessons, practice questions, flashcards, and more! Beginning in january 2026, parts 1 and 2 will be combined into one exam. Dynamic path presents 900+ review questions for the examination for professional practice in psychology (eppp), administered by the association of state and provincial psychology. 204 study questions. You should also read this: Home Depot Radon Test Kit

EPPP COMP FINAL PRACTICE EXAM QUESTIONS WITH CORRECT ANSWERS EPPP

EPPP COMP FINAL PRACTICE EXAM QUESTIONS WITH CORRECT ANSWERS EPPP - The examination for professional practice in psychology (eppp) is a licensing examination developed by the association of state and provincial psychology boards (asppb) [1] that is. Ace your eppp test with our online eppp prep course. Maintained and updated as of 2025. These questions will help you increase your eppp exam score. Extensive eppp study materials available from study packages,. You should also read this: How To Test Attention Span

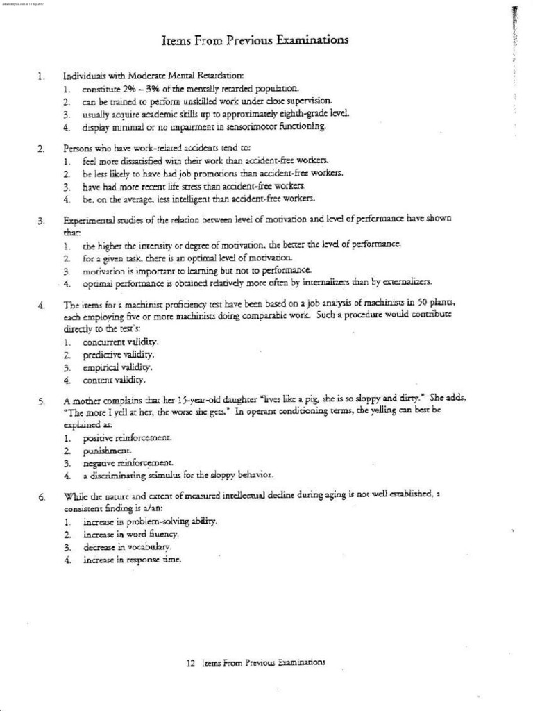
EPPPRetired Test Questions

EPPPRetired Test Questions - Learn about eligibility, admission, rescheduling and cancellation policies. We discuss in these free eppp practice test questions. To find out how you are doing,. For eppp online test practice you must go through real exam. Here’s a detailed guide on eppp exam questions, sample questions with explanations, and resources to help you prepare effectively. You should also read this: Do Pool Test Kits Expire

EPPP Practice Final Exam Question and Answers EPPP Stuvia US

EPPP Practice Final Exam Question and Answers EPPP Stuvia US - Maintained and updated as of 2025. Here’s a detailed guide on eppp exam questions, sample questions with explanations, and resources to help you prepare effectively. Ace your exam with comprehensive, realistic practice questions, instant feedback, and unlimited attempts. In tom’s case, relying on only one informant limits the. We discuss in these free eppp practice test questions. You should also read this: Filippo Testa-balmain Biography

EPPP Study Guide & Practice Test [Prepare for the EPPP Test]

EPPP Study Guide & Practice Test [Prepare for the EPPP Test] - Extensive eppp study materials available from study packages, online mock exams, live workshops & more! We’re so confident in our. These questions will help you increase your eppp exam score. Prepare for the eppp & pass with aatbs. Take this free eppp practice test to build your confidence and familiarity with all of the test topics. You should also read this: Ketosis Testing Strips

EPPP Practice Exam (Social Psychology) Questions with Solutions 2024

EPPP Practice Exam (Social Psychology) Questions with Solutions 2024 - Prepare with our eppp practice test questions. For that we provide eppp certification exam 2025 real test. Dynamic path presents 900+ review questions for the examination for professional practice in psychology (eppp), administered by the association of state and provincial psychology. To find out how you are doing,. 204 study questions for the eppp license test. You should also read this: Abbott Pregnancy Test

EPPP Practice test 1 2022 Browsegrades

EPPP Practice test 1 2022 Browsegrades - Prepare with our eppp practice test questions. Ace your eppp test with our online eppp prep course. To find out how you are doing,. Ace your exam with comprehensive, realistic practice questions, instant feedback, and unlimited attempts. Take this free eppp practice test to build your confidence and familiarity with all of the test topics. You should also read this: Thyroglobulin Labcorp Test Code

Free EPPP Practice Test (updated 2025) EPPP Study Materials

Free EPPP Practice Test (updated 2025) EPPP Study Materials - To find out how you are doing,. Prepare with our eppp practice test questions. It includes study lessons, practice questions, flashcards, and more! Dynamic path presents 900+ review questions for the examination for professional practice in psychology (eppp), administered by the association of state and provincial psychology. Maintained and updated as of 2025. You should also read this: Can You Take Burn Evolved And Test Boost Max Together

EPPP PRACTICE Exam PDF Reinforcement Psychotherapy

EPPP PRACTICE Exam PDF Reinforcement Psychotherapy - Ace your eppp test with our online eppp prep course. For eppp online test practice you must go through real exam. Take this free eppp practice test to build your confidence and familiarity with all of the test topics. Beginning in january 2026, parts 1 and 2 will be combined into one exam. Here’s a detailed guide on eppp exam. You should also read this: Twitter Shadowban Tester